The figure represents the variation of the electric potential V at a point in
a region of space as a function of its position along the x-axis. A charged
particle will experience the maximum force at :

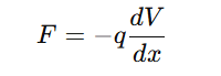
The electric force on a charged particle is given by:

So, the magnitude of force depends on the slope of the V–x graph.
- If the graph is horizontal → slope = 0 → force = 0
- If the graph is steep → slope is large → force is large
Now look at the given graph:
- P → horizontal line → slope = 0 → no force
- Q → moderate negative slope → some force
- R → horizontal → no force
- S → very steep slope → maximum slope
- T → less steep than S
Since the force is maximum where the slope (|dV/dx|) is maximum,
The charged particle experiences maximum force at point S.
